Rus |
Eng
Камеры статического давления
Особенности:
Снижение аэродинамического шума за счет уменьшения скорости потока воздуха

Удобство монтажа воздухораспределительного устройства

Возможность регулировки расхода воздуха с помощью регулирующей заслонки

Возможность комплектации шумоизоляцией с толщиной 25 мм

Выбор расположения присоединительного патрубка (вертикально или горизонтально)

Потолочный монтаж камеры

Крепление к строительным конструкциям с помощью шпилек

Камера статического давления предназначена для распределения и направления воздушного потока, подводимого к воздухораспределителю, что улучшает аэродинамические характеристики, образуемые воздушной струей.

Для регулирования расхода воздуха камера может комплектоваться регулятором, который представляет собой заслонку с ручным управлением или с площадкой под электропривод с плавным регулированием. Регулятор расхода воздуха устанавливается в присоединительный патрубок.
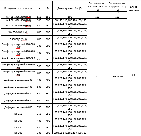
Основные технические характеристики :
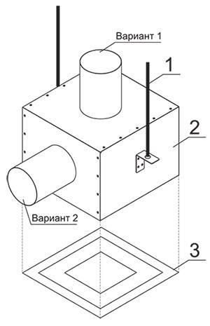
Монтаж камер статического давления осуществляется к потолку при помощи специальных креплений на корпусе камеры.

1 - шпилька

2 - камера статического давления

3 - диффузор

Расположение присоединительного патрубка: сверху (вариант 1), сбоку (вариант 2).
Пример обозначения (камера статического давления для диффузоров):
Камера СД-YAR-600*600-В160-Р-0

где: Камера СД – камера статического давления;

YAR011 – тип диффузора под камеру статического давления (YAR 011, DK, SW, П6060ДП, диффузор вихревой);

600*600 – размер диффузора (мм) (или диаметр d250);

В – подвод воздуховода (В - сверху, Б - сбоку);

160 – диаметр патрубка (мм);

Р – наличие регулятора расхода воздуха (Р - да, 0 - нет);

0 – шумоизоляция (Ш - есть, 0 - нет).

Пример обозначения (камера статического давления для диффузоров):
Камера СД-РЩБ-127*1000-В200-Р-0

где: Камера СД – камера статического давления;

РЩБ – решетка щелевая;

127*1000 – установочный размер решетки (HxL), мм;

В – подвод воздуховода (В - сверху, Б - сбоку);

160 – диаметр патрубка (мм);

Р – наличие регулятора расхода воздуха (Р - да, 0 - нет);

0 – шумоизоляция (Ш - есть, 0 - нет).

Габариты и присоединительные размеры :
Камеры для щелевых решеток :